语文必考点
01大题阅读内容
一、大阅读的类型
文学类文本:小说、散文、戏剧
实用类文本:人物传记、新闻、科普文、调查
二、传记考查的切入角度
1.写什么?
(1)理解作者在文中的重要语句所要表达的含义。
(2)理清作品陈述的基本事实,把握传主的人生经历;
(3)把握传主的形象,概括传主的精神品质。
2.怎么写和为什么这样写?
把握文章结构,分析传记的语言特色,理解作者在文中所运用的表现手法及其效果(作用)
3.探究——探讨文本反映的人生价值和时代精神,能对作者所持的观点和艺术处理提出自己的看法。
02大阅读的“结构作用”题型
以小说为例(传记同样适用)
一、文本的故事结构(小说情节)
故事开端-----发展------高潮-----结局
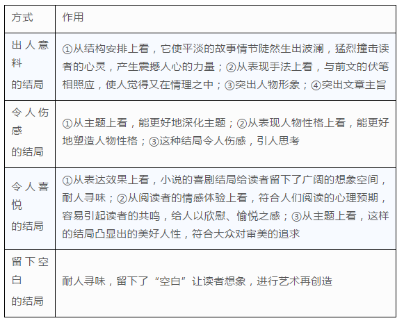
二、情节的类型及作用
(一)就整体篇章而言

(二)就文章开头而言

(三)就文章结尾而言

(四)考题问法:
“文章(传记、小说均可)以……………………(周汝昌“安安静静的离开”)开头(结尾),”有什么作用,请结合全文进行分析。
对待“作用”题型,可以从“结构”和“内容”两个角度进行分析,具体如下:
1.考虑情节与其他情节的关系。
2. 考虑情节与读者感受的关系。
3. 考虑情节与人物形象的关系。
4. 考虑情节与小说主题的关系。
具体分析:
1.情节与其他情节的关系:
①开头的作用:总领全文;照应题目,呼应下文;引出下文,为后文做铺垫;开门见山,直入主题;欲扬先抑;对比衬托;渲染气氛,奠定基调;埋下伏笔;设置悬念。
②中间的作用: 过渡(承上启下);由……到……(由叙述转向议论,由写景转向抒情,由正面到反面);为下文写……做铺垫(为议论、抒情做铺垫);推动情节的发展;照应;总结上文;呼应前文。
③结尾的作用:卒章显志,点明中心;戛然而止,回味深长;点明题旨;深化主题;照应前文,结构严谨;升华感情,照应开头,画龙点睛;言有尽而意无穷;以小见大。
④标题的作用:一是起线索作用,贯穿全文;二是点明主题。
2. 情节与人物形象的关系:也就是情节本身对人物性格塑造的具体作用。常用答题术语:塑造了……的人物形象,表现了人物……的性格或精神,刻画了人物……的心理等。
3.情节与小说主题的关系:一般来说,情节有点题和突出、深化主题等作用。常用答题术语:揭示(表达、寄托、暗示)了……的主题,深化主题,突出主题等。
4. 情节与读者感受的关系:就是站在读者的位置上考虑情节的作用。常用答题术语:设置悬念、吸引读者注意力、引起读者的阅读兴趣、引发读者思考等。
03大阅读的“人物性格”题型
题型:文章体现出某某怎样的性格特点……某某说传主是一个……样的人,原文是如何体现的。
一、借助“手法”表现传主性格

二、借助身份、地位、经历、教养、气质来表现传主性格
人物的身份,所拥有的社会地位,以及他的人生经历、个人涵养直接决定了人物的言行,影响着人物性格。
三、借助情节来展现传主的性格
情节是小说故事推进的过程,是人物性格的发展史。在情节的展开中,通过描写人物的外貌、行为和心理状态,再现活生生的鲜明个性。
四、把传主置于特定的社会历史背景中展现
在一定的社会历史背景下活动的,鉴赏人物如果离开了人物活动的社会历史背景,就不可能正确理解人物,更不可能理解人物形象的社会意义。
五、从作者对人物的介绍和评价来把握
作者对待人物的态度至关重要。这种情感态度的评价有两种方式:一是对人物的思想倾向与性格特征进行直接评论,或者借作品中某一人物之口说出;二是通过人物自身的行为过程来暗示,犹如戏剧演出一样让观众在人物自身动作的观览中获得某种启示。
总结:掌握基本方法。
一抓描写,即找到有关人物形象的语言、动作、神态、心理等方面的描写,借以体会人物形象的性格特点;
二抓情节,即要在情节发展中把握人物性格的发展变化和特点;
三抓评论语,作品有时还会借助其他人物的评述或作者的直接评价来揭示人物性格特点。
六、物象的作用
物象即小说中引入的特别重要的物件,其基本作用有三个方面:
①突出人物性格,揭示、深化主题;
②反复出现,串起相关情节,从而成为全文的线索,兼有使结构更加严谨的作用;
③衬托环境,或者具有象征意义。
04鉴赏文章环境
环境是指人物生存的外部世界,分为自然环境和社会环境。
一、自然环境
自然环境是指人物活动的时间地点、季节气候及山川河流、花草树木、鸟兽虫鱼、城市村落等自然景观。
1.内容
(1)描写内容:抓住特征,进行形、声、色、味等方面的描写。
(2)描写角度:调动视觉、听觉、触觉、嗅觉等多种感官进行描绘。
(3)描写顺序:写景有层次,讲究观察角度,或定点换景,或移步换景。
(4)常用技巧:
①运用拟人、比喻等修辞,写景强调形象;
②斟词炼字,写景要求准确传神;
③动静结合,写景追求神韵;
④点面结合,写景应该全面且突出重点;
⑤虚实结合,要合理运用联想与想象。
二、环境的作用
往有大段的具体场景描写,其作用有:
1.如果场景描写在小说开头,那么其功能是给全篇“定调”。或者定下情感基调,或者定下叙述基调,使得叙述更舒缓自然、顺理成章。
2. 如果场景描写出现在人物出场前,那么其功能便是导引人物出场。如果置于小说的某个情节中,其作用可能是推动情节发展。
3. 如果场景描写置于对人物的描写之中,那么其功能是揭示人物的性格,表现人物心理。
4. 如果某个场景作为小说的主背景,那么其作用很可能是作为一种象征。如海明威《老人与海》中的大海,便是人生的象征;老人与海的斗争,是人与自己命运的斗争。小说中某个场景的功能不是单一的,而是综合的,这要结合具体的小说文本进行具体分析。
5. 营造特定的意境与渲染特定的气氛,以感染读者。
组织语言,规范答案。
模式一:
①环境本身(交代……时间、交代……背景、营造……氛围、渲染……气氛)→②情节(推动、暗示、铺垫)→③人物(烘托、映衬……)→④主题(表达、寄托、暗示、揭示)。
模式二:
××具体描写了……景色,营造(创设)了一种……气氛;渲染(定下)了……的抒情基调;烘托了人物……心理,表现了人物……形象特点;为下文……的情节展开做了铺垫,推动……的情节发展,对表现中心主题具有……作用(突出了中心主题)。
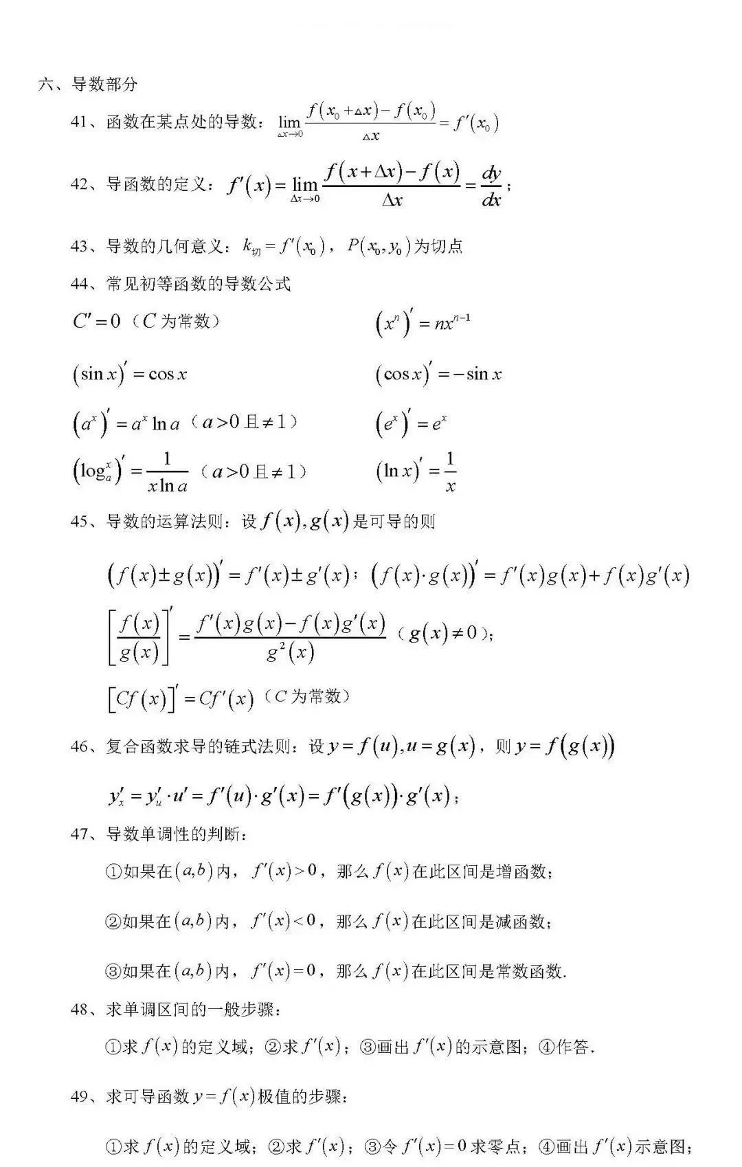
数学必考点













英语必考点
1.名词的单复数
规则变化+s/es、不规则变化(mouse-mice)、单复数同形、同一词在不同意义下有可能可数有可能不可数
2.名词所有格
‘s(表示有生命:Lily’s desk)、of所有格(表示无生命the window of the room)
3.名词修饰语
只修饰可数名词(each、every、a great many)、只修饰不可数名词(little、a little、 alarge amount of)、都可以修饰(some、alot of、plenty of)
4.不定冠词(a/an单数不特指);定冠词(the/this/that/these/those表特定)
5.such的用法
such作限定词和all,no,any,some,other,anther等词连用时,such放后面。
如果such修饰单数可数名词,且与不定冠词连用时需置于其前;such前有no时不用冠词。
6.so的用法
在believe,think,expect,suppose等词后用so代替前文提出的观点
在肯定句中表示与上文相同的情况,如:So do I.
7.all和both的用法
all三者或三者以上全部都,both二者都。all指整体或抽象事物时当做单数,指人时当做复数。both做主语时,谓语动词用复数。
8.many修饰或替代可数名词,much修饰或替代不可数名词
many a 许多(谓语动词用单数)
a good/greatmany很多
as many as/asmuch as一样多、差不多
9.little几乎没有,修饰不可数名词
a little有一点,修饰不可数名词
few几乎没有,修饰可数名词
a few有一点,修饰可数名词
10.形容词比较级最高级
原级比较:…is as good asmine.
表示少于或超过另一方:fewer than, morethan
易混淆短语:as well as也…既…
as far as就…而言
11.比较级常见错误:
用much表强调时的误用
She looks more younger than I.(×)
She looks much younger than I.(√)
12.介词短语重点
except for除了
in place of代替
on behalf of代表
but for要不是
in front of在…前面
13.介词across, over, through, past四个常考介词的区别
across 横穿穿越,发生在物体表面
over 跨过越过,发生在物体上方
through 穿过,发生在某物空间内
past 从旁经过
14.易混淆的介词短语
in all总共
after all毕竟
at all根本,常用在否定句中表强调
above all最重要的是,尤其是
15.序数词前一定要加定冠词the,改错常考,序数词与基数词连用时,序数词放在前面,如the first one。
16.will和would的用法(常考)
will常与第二人称you连用,表示征求对方意见,will you/won’t you?
would更委婉客气一些,常用短语:would like to dowould rather宁愿
17.虚拟语气
18.一般现在时表将来的2种情况:
拟定或安排好的事情、一定要发生的动作:The train arrives at 10.
在时间状语从句、条件状语从句、让步状语从句中一般现在时表将来
19.过去即将要发生的动作:was/were about todo sth.
20.句子中出现过去时,才会使用过去完成时表过去的过去-一直延续到过去的动作
I was tired. I had been working sincedawn.
21.常用句型:
It is adj. for sb.to do sth.
It is adj. of sb. to do sth.(形容词评价某人)
22.经常接疑问词+不定式的动词:learn, ask, discuss, explain, know, remember, forget, understand, think, consider, decide.
如 I have to learn how to study English.
23.主谓一致
the number of+复数名词作主语时,谓语动词用单数
a number of+复数名词时,谓语动词用复数
someplentyofa lot of,谓语动词根据所修饰的词而定
a quantity of谓语动词用单数;large quantities of谓语动词用复数
24.谓语动词就近一致:
either…or…/neither…nor…/not only…but also…谓语动词和靠近的主语一致(常考)
25.同位语从句
常跟同位语从句的名词或短语(常考):belief /doubt /hope /report /word /opinion /idea…使用举例:We have some doubt whether they can complete the task on time.
26.直接引语和间接引语
变间接引语要向前推一个时态!例:
He said, ”I am sorry.”
He said that he was sorry.
27.定语从句who/whom的用法(介词+whom)例:
He is the man who lives next door.
I have many friends to whom I am going to send postcards.
28.定语从句that/which的用法,通常可以互换,但下列情况必须用that(改错常考):
先行词是all,much,few,little,something等不定代词时
先行词有the only,thesame,the very修饰时
主句是以which开头的特殊疑问句时
先行词既有物又有人时
先行词是序数词、形容词最高级时
29.as和which用法辨析,引导非限定性定语从句
as的先行词只能是句子,which的先行词可以是词。
30.表示一…就的引导词
as soon as/immediately/instantly/the moment/no sooner than/hardly
物理必考点
01、运动
1. 考生易混淆的超重和失重问题
(1)超重不是重力的增加,失重也不是重力的减少。在发生超重和失重时,只是视重的改变,而物体所受的重力不变。
(2)超重和失重现象与物体的运动方向,即速度方向无关,只取决于物体的加速度方向。
(3)在完全失重状态下,平常由重力产生的一切物理现象都会完全消失。
2. 对于平抛运动,考生应注意不能混淆速度和位移的矢量分解图
做平抛运动的物体在任一时刻任一位置处,根据运动的独立作用原理,速度可以分解,位移也可以分解。要注意这两个矢量图的区别与联系,不能混淆.在速度矢量图中,设速度方向与水平方向的夹角为α,tanα=vy/v0=2y/x.在位移矢量图中,设位移方向与水平方向的夹角为β,tanβ=y/x,因此有tanα=vy/v0=2y/x=2tanβ。
3. 考生应注意近地卫星与赤道上的物体的区别
近地卫星离开地面运行,地球对它的万有引力提供向心力,也可以近似视为重力提供向心力.而赤道上的物体在地球上随地球自转做圆周运动,地球对物体的万有引力与对物体支持力的合力提供向心力。
4. 考生应注意r在不同公式中的含义
万有引力定律公式F=GMm/r2中的r指的是两个质点间的距离,在实际问题中,只有当两物体间的距离远大于物体本身的大小时,定律才适用,此时r指的是两物体间的距离.定律也适用于两个质量分布均匀的球体,此时r指的是这两个球心间的距离.而向心力公式F=mv2/r中的r,对于椭圆轨道指的是曲率半径,对于圆轨道指的是圆半径,开普勒第三定律r3/T2=k中的r指的是椭圆轨道的半长轴。可见,同一个r在不同公式中的含义不同,要注意它们的区别。
02、能量
1. 掌握一个有用且易错的结论:摩擦生热Q=f·Δs
摩擦力属于“耗散力”,做功与路径有关,一个物体在另一个物体的表面上运动时,发热产生的内能等于滑动摩擦力的大小与两物体的相对路程的乘积,即Q=f·Δs.在相互摩擦的系统内,一对滑动摩擦力所做功的代数和总是负值,其绝对值恰好等于滑动摩擦力的大小与两物体的相对路程的乘积,也等于系统损失的机械能。
2. 理清两个易混、易错的问题
(1)错误地认为“一对作用力与反作用力所做的功总是大小相等、符号相反”。
(2)忽视细绳绷紧瞬间的机械能损失。
03、电场
1. 考生不易理解的三个概念——电场强度、电势、电容
(1)电场强度的定义式E=F/q,但E的大小、方向是由电场本身决定的,是客观存在的,与放不放检验电荷以及放入的检验电荷的正负、电荷量的多少均无关.既不能认为E与F成正比,也不能认为E与q成反比.同理,电势也是由电场本身决定的,是客观存在的,与放不放检验电荷以及放入的检验电荷的正负、电荷量的多少均无关.电势的正负符号表示大小,即正值大于负值.对电容的理解也是如此,电容由电容器本身决定,与电容器是否接入电路无关,即与电容器是否带电(电容器带电荷量)和两极板间电势差无关。
(2)要区别场强的定义式E=F/q与点电荷场强的计算式E=kQ/r2,前者适用于任何电场,其中E与F、q无关;而后者只适用于真空中点电荷形成的电场,E由Q和r决定。
(3)场强与电势无直接关系,场强大(或小)的地方电势不一定大(或小),零电势点可根据实际需要选取,而场强是否为零则由电场本身决定。
2. 考生不易区分的电场线、电场强度、电势、等势面的相互关系
(1)电场线与场强的关系:电场线越密的地方表示电场强度越大,电场线上每点的切线方向表示该点的电场强度方向。
(2)电场线与电势的关系:沿着电场线方向,电势越来越低。
(3)电场线与等势面的关系:电场线越密的地方等差等势面也越密,电场线与该处的等势面垂直。
(4)电场强度与等势面的关系:电场强度方向与通过该处的等势面垂直且由高电势指向低电势;等差等势面越密的地方表示电场强度越大。
3. 考生应注意的一个重点——安培力
将通电直导线垂直磁场方向放入匀强磁场中,其所受安培力大小为F=ILB,安培力的方向总是既跟磁场方向垂直,又跟电流方向垂直,即F⊥B、F⊥I,安培力的方向用左手定则判断。
4. 考生不易掌握的一个难点——带电粒子在“场”中的运动
(1)带电粒子在复合场中的运动本质是力学问题
①带电粒子在电场、磁场和重力场共存的复合场中的运动,其受力情况和运动图景比较复杂,但其本质是力学问题,应按力学的基本思路,运用力学的基本规律研究和解决此类问题。
②分析带电粒子在复合场中的受力时,要注意各力的特点。
(2)带电粒子在复合场中运动的基本模型有:
①匀速直线运动.自由的带电粒子在复合场中做的直线运动通常都是匀速直线运动,除非粒子沿磁场方向飞入不受洛伦兹力作用.因为重力、电场力均为恒力,若两者的合力不能与洛伦兹力平衡,则带电粒子速度的大小和方向将会改变,不能维持直线运动。
②匀速圆周运动.自由的带电粒子在复合场中做匀速圆周运动时,必定满足电场力和重力平衡,则当粒子速度方向与磁场方向垂直时,洛伦兹力提供向心力,使带电粒子做匀速圆周运动。
③较复杂的曲线运动.在复合场中,若带电粒子所受合外力不断变化且与粒子速度不在一条直线上时,带电粒子做非匀变速曲线运动.此类问题,通常用能量观点分析解决,带电粒子在复合场中若有轨道约束,或匀强电场或匀强磁场随时间发生周期性变化时,粒子的运动更复杂,则应视具体情况进行分析。
正确分析带电粒子在复合场中的受力情况并判断其运动的性质及轨迹是解题的关键,在分析其受力及描述其轨迹时,要有较强的空间想象能力并善于把空间图形转化为最佳平面视图.当带电粒子在电磁场中做多过程运动时,关键是掌握基本运动的特点和寻找过程的衔接点。
04、电路
1. 考生易错的电路中的电容器问题
如果电容器与电路中某个电阻并联,电路中有电流通过.电容器两端的电压等于该电阻两端的电压.另外,应该知道电容器充电时,随着电容器内部电场的建立,充电电流会越来越小,电容器两极板间电压(电势差)越来越大.当电容器充电过程结束时,电容器所在的支路电流为零。
2. 考生应注意的动态电路的有关问题
电路中局部的变化会引起整个电路电流、电压、电功率的变化,“牵一发而动全局”是电路问题的一个特点.处理这类问题的常规思维过程是:首先对电路进行分析;其次从阻值变化的那部分入手,由串、并联规律判断电路总电阻变化情况(若只有有效工作的一个电阻阻值变化,则电路总电阻一定与该电阻变化规律相同);再次由闭合电路欧姆定律判断电路总电流、路端电压变化情况;最后根据电路特点和电路中电压、电流分配原则判断各部分电流、电压、电功率的变化情况。
3. 考生易错的非纯电阻电路问题
非纯电阻电路是电流做功将电能主要转化为其他形式的能量,但还有一部分电能转化为热能,此时电功大于电热。
以电动机为例,电动机工作时所消耗的电能大部分转化为机械能,一小部分转化为热能.因此,对于电动机电路问题可用以下公式求解。
电流做功时所消耗的总能量W总=UIt;工作时所产生的热能Q=W热=I2Rt;
所转化的机械能W机=W总-W热=UIt-I2Rt;
电流做功的功率P总=UI;其发热功率P热=I2R;
转化的机械能功率P机=P总-P热=UI-I2R
4. 考生应注意的电路故障问题
分析电路的故障问题有:
(1)给定可能故障现象,确定检查方法;
(2)给定测量值,分析推断故障;
(3)根据故障,分析推断可能观察到的现象等几种情况.分析的关键在于根据题目提供的信息分析电路的故障所在,画出等效电路,再利用电路规律来求解,通常情况下,电压表有读数表明电压表与电源连接完好,电流表有读数表明电流表所在支路无断路。
5. 考生易漏掉的非线性电路的求解问题
非线性电路包括含二极管电路和含白炽灯电路,由于这类元件的伏安特性不再是线性的,所以求解这类问题难度较大.对这类问题的分析要用到图线相交法.要注意理解图像交点的物理意义。
6. 考生易混淆的几大规律
(1)安培定则,又称右手螺旋定则,用于根据电流(磁场)方向,判断磁场(电流)方向。
(2)左手定则,用于根据电流方向和磁场的方向,判断导体的受力方向;或根据粒子运动方向和磁场的方向,判断运动粒子的受力方向。
(3)右手定则,用于根据导体的运动方向和磁场方向,判断感应电流的方向。
(4)楞次定律,用于根据磁通量的变化,判断感应电流的方向。
(5)法拉第电磁感应定律,用于计算感应电动势的大小。
一定要理解记忆几大定律的表述,对于楞次定律还要注意掌握常用的几种等效推论。
7. 考生不易掌握的一个难点——感应电路中的“杆+导轨”模型问题
(1)全面掌握相关知识:由于“杆+导轨”模型题目涉及的问题很多,如力学问题、电路问题、图像问题及能量问题等,同学们要顺利解题需全面理解相关知识,常用的基本规律有电学中的法拉第电磁感应定律、楞次定律、左手定则、右手定则、欧姆定律及力学中的运动学规律、动力学规律、动能定理、能量守恒定律等。
(2)抓住解题的切入点:受力分析、运动分析、过程分析、能量分析。
(3)自主开展研究性学习:同学们平时应用研究性的思路考虑问题,可做一些不同类型、不同变化点组合的题目,注意不断地总结,并可主动变换题设条件进行研究学习,在高考时碰到自己研究过的不同变化点组合的题目就不会感到陌生了。
8. 考生易混淆的交流电“四值”的运用问题
交流电的瞬时值、最大值、平均值、有效值有不同用途,同学们要掌握它们的求解方法和用途.交变电流在一个周期内能达到的最大数值称为最大值或峰值,在研究电容器是否被击穿时,要用到最大值;有效值是根据电流的热效应来定义的,在计算电路中的能量转化如电热、电功或确定交流电压表、交流电流表的读数和保险丝的熔断电流时,要用有效值;在计算电荷量时,要用平均值;交变电流在某一时刻的数值称为瞬时值,不同时刻,瞬时值一般不同,计算电路中与某一时刻有关的问题时要用交变电流的瞬时值。
9. 考生易分析不清的输电线路与变压器电路的问题
(1)正确理解理想变压器原、副线圈的等效电路,尤其是副线圈的电路,它是解决变压器电路的关键。
(2)正确理解电压比、电流比公式,尤其是电流比公式.电流比对于多个副线圈不能使用,这时求电流关系只能根据能量守恒来求,即P输入=P输出。
(3)正确理解变压器中的因果关系:理想变压器的输入电压决定了输出电压;输出功率决定了输入功率,即只有有功率输出,才会有功率输入;输出电流决定了输入电流。
(4)理想变压器只能改变交流的电流和电压,却无法改变其功率和频率。
(5)解决远距离输电问题时,要注意所用公式中各量的物理意义,画好输电线路的示意图,找出相应的物理量。
05、实验
1. 考生易错的一个热点——打点计时器的使用及纸带分析
打点计时器使用的电源是频率为50 Hz的交流电源,使用时,一般先接通电源,后松开纸带.每隔0.02s打一次点,试题中给的各点常常是取的计数点,相邻的计数点间的时间间隔T不一定是0.02s。
2. 考生应注意是否满足实验条件
在探究加速度与力和质量的关系、探究动能定理的实验中,只有满足砝码和砝码盘(或砂和砂桶)的质量远远小于小车的质量的条件,才能认为砝码和砝码盘(或砂和砂桶)的重力等于绳的拉力。
3. 考生应注意动能改变量与势能改变量是否相等
验证机械能守恒定律实验时,部分学生不计算动能的增加量,直接认为动能的增加量等于重力势能的减少量.但是,实验中由于摩擦力的影响,减少的重力势能总是大于增加的动能,只是在相差很小时,我们才能认为机械能守恒。
4. 考生易漏的改装电压表问题
用伏安法测电阻,若只给两块电流表而没给电压表时,需要把一块电流表改装成电压表来使用,所给的两块电流表一般情况是一块内阻是大约值,一块内阻是准确值,只能把内阻是准确值的电流表改装成电压表。
5. 考生不易掌握的如何确定被测电阻是大电阻还是小电阻
(1)已知被测电阻、电压表和电流表的大约内阻值时,采用比较法:若RV/Rx>Rx/RA,则Rx是小电阻,采用电流表外接法;若RV/Rx<Rx/RA,则Rx是大电阻,采用电流表内接法。
(2)三者电阻值都不知道时,采用试探法:分别接成电流表外接法和内接法,观察电压表和电流表示数的变化(相对值)的大小.若电压表示数变化(相对值)大,则是小电阻;若电流表示数变化(相对值)大,则是大电阻。
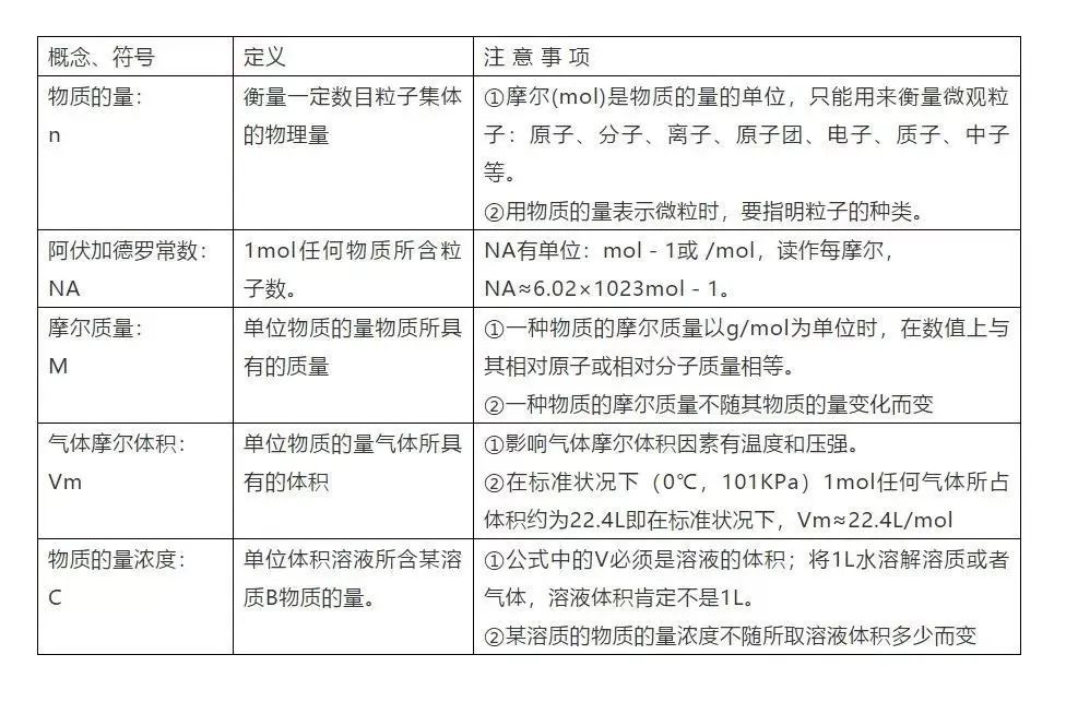
化学必考点
1. 混合物的分离
①过滤:固体(不溶)和液体的分离。
②蒸发:固体(可溶)和液体分离。
③蒸馏:沸点不同的液体混合物的分离。
④分液:互不相溶的液体混合物。
⑤萃取:利用混合物中一种溶质在互不相溶的溶剂里溶解性的不同,用一种溶剂把溶质从它与另一种溶剂所组成的溶液中提取出来。
2. 粗盐的提纯
(1)粗盐的成分:主要是NaCl,还含有MgCl2、CaCl2、Na2SO4、泥沙等杂质
(2)步骤:
①将粗盐溶解后过滤;
②在过滤后得到粗盐溶液中加过量试剂BaCl2(除SO42-)、Na2CO3(除Ca2+、过量的Ba2+)、NaOH(除Mg2+)溶液后过滤;
③得到滤液加盐酸(除过量的CO32-、OH-)调pH=7得到NaCl溶液;
④蒸发、结晶得到精盐。
加试剂顺序关键:Na2CO3在BaCl2之后;盐酸放最后。
(3) 蒸馏装置注意事项:
①加热烧瓶要垫上石棉网;
②温度计的水银球应位于蒸馏烧瓶的支管口处;
③加碎瓷片的目的是防止暴沸;
④冷凝水由下口进,上口出。
(4) 从碘水中提取碘的实验时,选用萃取剂应符合原则:
①被萃取的物质在萃取剂溶解度比在原溶剂中的大得多;
②萃取剂与原溶液溶剂互不相溶;
③萃取剂不能与被萃取的物质反应。
3. 离子的检验
①SO42-:先加稀盐酸,再加BaCl2溶液有白色沉淀,原溶液中一定含有SO42-。Ba2++SO42-=BaSO4↓
②Cl-(用AgNO3溶液、稀硝酸检验)加AgNO3溶液有白色沉淀生成,再加稀硝酸沉淀不溶解,原溶液中一定含有Cl-;或先加稀硝酸酸化,再加AgNO3溶液,如有白色沉淀生成,则原溶液中一定含有Cl-。Ag++Cl-=AgCl↓。
③CO32-:(用BaCl2溶液、稀盐酸检验)先加BaCl2溶液生成白色沉淀,再加稀盐酸,沉淀溶解,并生成无色无味、能使澄清石灰水变浑浊的气体,则原溶液中一定含有CO32-。
4. 5个新的化学符号及关系

5. 分散系
(1)分散系组成:分散剂和分散质,按照分散质和分散剂所处的状态,分散系可以有9种组合方式。
(2)当分散剂为液体时,根据分散质粒子大小可以将分散系分为溶液、胶体、浊液。
6. 胶体
(1)常见胶体:Fe(OH)3胶体、Al(OH)3胶体、血液、豆浆、淀粉溶液、蛋白质溶液、有色玻璃、墨水等。
(2)胶体的特性:能产生丁达尔效应。区别胶体与其他分散系常用方法丁达尔效应。
胶体与其他分散系的本质区别是分散质粒子大小。
(3)Fe(OH)3胶体的制备方法:将饱和FeCl3溶液滴入沸水中,继续加热至体系呈红褐色,停止加热,得Fe(OH)3胶体。
7.电解质和非电解质
电解质:在水溶液里或熔融状态下能导电的化合物。
非电解质:在水溶液中和熔融状态下都不能导电的化合物。(如:酒精[乙醇]、蔗糖、SO2、SO3、NH3、CO2等是非电解质。)
8. 电解质和非电解质相关性质
(1)电解质和非电解质都是化合物,单质和混合物既不是电解质也不是非电解质。
(2)酸、碱、盐和水都是电解质(特殊:盐酸(混合物)电解质溶液)。
(3)能导电的物质不一定是电解质。能导电的物质:电解质溶液、熔融的碱和盐、金属单质和石墨。
电解质需在水溶液里或熔融状态下才能导电。固态电解质(如:NaCl晶体)不导电,液态酸(如:液态HCl)不导电。
溶液能够导电的原因:有能够自由移动的离子。
电离方程式:要注意配平,原子个数守恒,电荷数守恒。如:Al2(SO4)3=2Al3++3SO42-
9. 离子反应
(1)离子反应发生的条件:生成沉淀、生成气体、水。
(2)离子方程式的书写:(写、拆、删、查)
①写:写出正确的化学方程式。(要注意配平。)
②拆:把易溶的强电解质(易容的盐、强酸、强碱)写成离子形式,这些物质拆成离子形式,其他物质一律保留化学式。
③删:删除不参加反应的离子(价态不变和存在形式不变的离子)。
④查:检查书写离子方程式等式两边是否原子个数守恒、电荷数守恒。
10. 常见易溶的强电解质
三大强酸(H2SO4、HCl、HNO3),四大强碱[NaOH、KOH、Ba(OH)2、Ca(OH)2 (澄清石灰水拆,石灰乳不拆)],可溶性盐。
生物必考点
1.基因重组只发生在减数分裂过程和基因工程中。(三倍体、病毒、细菌等不能基因重组)
2.细胞生物的遗传物质就是DNA,有DNA就有RNA,有5种碱基,8种核苷酸。
3.双缩脲试剂不能检测蛋白酶活性,因为蛋白酶本身也是蛋白质。
4.高血糖症≠糖尿病。高血糖症尿液中不含葡萄糖,只能验血,不能用本尼迪特试剂检验。因血液是红色。
5.洋葱表皮细胞不能进行有丝分裂,必须是连续分裂的细胞才有细胞周期。
6.细胞克隆就是细胞培养,利用细胞增殖的原理。
7.细胞板≠赤道板。细胞板是植物细胞分裂后期由高尔基体形成,赤道板不是细胞结构。
8.激素调节是体液调节的主要部分。CO2刺激呼吸中枢使呼吸加快属于体液调节。
9.注射血清治疗患者不属于二次免疫(抗原+记忆细胞才是),血清中的抗体是多种抗体的混合物。
10.刺激肌肉会收缩,不属于反射,反射必须经过完整的反射弧,判断兴奋传导方向有突触或神经节。
11.递质分兴奋性递质和抑制性递质,抑制性递质能引起下一个神经元电位变化,但电性不变,所以不会引起效应器反应。
12.DNA是主要的遗传物质中“主要”如何理解?每种生物只有一种遗传物质,细胞生物就是DNA,RNA也不是次要的遗传物质,而是针对“整个”生物界而言的。只有少数RNA病毒的遗传物质是RNA。
13.隐性基因在哪些情况下性状能表达?①单倍体;②纯合子(如bb或XbY);③位于Y染色体上。
14.染色体组≠染色体组型≠基因组三者概念的区别。染色体组是一组非同源染色体,如人类为2个染色体组,为二倍体生物。基因组为22+X+Y,而染色体组型为44+XX或XY。
15.病毒不具细胞结构,无独立新陈代谢,只能过寄生生活,用普通培养基无法培养,只能用活细胞培养,如活鸡胚。
16.病毒在生物学中的应用举例:
①基因工程中作载体;
②细胞工程中作诱融合剂;
③在免疫学上可作疫苗用于免疫预防。
17.遗传中注意事项:
(1)基因型频率≠基因型概率;
(2)显性突变、隐性突变;
(3)重新化整的思路(Aa自交→1AA:2Aa:1aa,其中aa致死,则1/3AA+2/3Aa=1)。
(4)自交≠自由交配,自由交配用基因频率去解,特别提示:豌豆的自由交配就是自交。
(5)基因型的书写格式要正确,如常染色体上基因写前面XY一定要大写。要用题中所给的字母表示。
(6)一次杂交实验,通常选同型用隐性,异型用显性。
(7)遗传图解的书写一定要写基因型,表现型,×,↓,P,F等符号,遗传图解区别遗传系谱图,需文字说明的一定要写,特别注意括号中的说明。
(8)F2出现3:1(Aa自交)出现1:1(测交Aa×aa),出现9:3:3:1(AaBb自交)出现1:1:1:1(AaBb×aabb测交或Aabb×aaBb杂交)。
(9)验证基因位于一对同源染色体上满足基因分离定律(或位于两对同源染色体上满足基因自由组合定律)方法可以用自交或测交。(植物一般用自交,动物一般用测交)
(10)子代中雌雄比例不同,则基因通常位于X染色体上;出现2:1或6:3:2:1则通常考虑纯合致死效应;子代中雌雄性状比例相同,基因位于常染色体上。
(11)F2出现1:2:1(不完全显性),9:7、15:1、12:3:1、9:6;1(总和为16)都是9:3:3:1的变形(AaBb的自交或互交)。
(12)育种方法:快速繁殖(单倍体育种,植物组织培养)、最简单育种方法(自交)。
(13)秋水仙素作用于萌发的种子或幼苗(未作用的部位,如根部仍为二倍体);秋水仙素的作用原理:有丝分裂前期抑制纺锤体的形成;秋水仙素能抑制植物细胞纺锤体的形成,对动物细胞无效。秋水仙素是生物碱,不是植物激素。
(14)遗传病不一定含有致病基因,如21-三体综合症。
18.平常考试用常见错别字归纳:液(叶)泡、神经(精)、类(内)囊体、必需(须)、测(侧)定、纯合(和)子、抑(仰)制、拟(似)核、拮(佶)抗、蒸腾(滕)、异养(氧)型。
政治必考点
1. 市场调节及其弊端
考点剖析:
(1)市场调节是通过价格、供求、竞争来实现的。
(2)市场调节的局限性。
①市场调节不是万能的:有不能调、调不着、调不动的地方。
②市场调节存在固有的弊端:市场调节具有自发性、盲目性、滞后性。
③市场调节弊端的后果:资源配置效率低下、资源浪费;社会经济不稳定,发生经济波动和混乱;收入分配不公平,收入差距扩大,甚至导致严重的两极分化。
备考锦囊:
对该考点的复习要注意以下几点:
①市场调节的弊端是固有的,无法克服;
②凡是追求自身利益而违反道德、法律的不良行为都属于市场调节的自发性,盲目性体现在生产上一哄而上、一哄而退的行为,滞后性则是从价格形成、价格信号传递到商品生产的调整存在一定的时间差。
2. 市场秩序
考点剖析:
(1)公平、公正的市场秩序,统一开放、竞争有序的现代市场体系,是使市场在资源配置中起决定性作用的基础。
(2)措施:良好的市场秩序依赖公平开放透明的市场规则来维护;形成以道德为支撑、法律为保障的社会信用制度,是规范市场秩序的治本之策;每个经济活动参与者都必须学法尊法守法用法,既保证自己的经济活动符合法律规范,又能够运用法律维护自己的权益,同时树立诚信观念,遵守市场道德。备考锦囊对该考点的运用要与市场调节、国家宏观调控等知识紧密结合,从经济发展的全局出发,掌握市场秩序的重要作用和维护市场秩序的措施。
3. 宏观调控
考点剖析:
(1)必要性:进行科学的宏观调控不仅是因为市场调节的局限性,更取决于我国社会主义的性质。
(2)主要目标:促进经济增长,增加就业,稳定物价,保持国际收支平衡。
(3)手段:以经济手段和法律手段为主,辅之以必要的行政手段,形成科学的宏观调控体系,充分发挥宏观调控手段的总体功能。
备考锦囊:
对该考点的复习要注意以下几点:
①国家在宏观调控中最常用的经济手段是财政政策和货币政策,经济手段还有经济发展战略、收入分配政策和产业政策等。
②财政政策涉及财政收入、支出,税收等方面的内容,主体为财政部;货币政策涉及的是利息率、存款准备金率、信贷的规模方向等的调整,主体是央行。
③国家宏观调控常打组合拳,各种手段综合运用。
4. 科学发展观
考点剖析:
(1)地位:实现全面建成小康社会的奋斗目标,必须深入贯彻落实科学发展观。科学发展观是指导党和国家全部工作的强大武器,是我们必须长期坚持的指导思想。
(2)科学发展观的内涵:深入贯彻落实科学发展观,必须把推动经济社会发展作为第一要义,把以人为本作为核心立场,把全面协调可持续作为基本要求,把统筹兼顾作为根本方法。
备考锦囊:
(1)对该考点的复习要注意:全面建成小康社会与实现中国梦必须坚持科学发展观;当前关注民生、保障民生、改善民生等都体现了科学发展观以人为本的核心立场。
(2)对该考点的运用要结合当前热点,如“央企重组”“供给侧结构性改革”“低碳生活”“和谐社会”等。
5. 加快转变经济发展方式
考点剖析:
(1)为什么:以科学发展为主题,以加快转变经济发展方式为主线,是关系我国发展全局的战略抉择。
(2)如何加快转变经济发展方式:
①实施创新驱动发展战略——摆在国家发展全局的核心位置。
②推进经济结构战略性调整——加快转变经济发展方式的主
攻方向。
③推动城乡发展一体化——解决“三农”问题的根本途径。
④全面促进资源节约和环境保护,增强可持续发展能力——关系人民福祉,关乎民族未来。备考锦囊对该考点的运用要注意综合分析,此内容可拓展到企业经营、宏观调控、产业结构调整等。具体来说,经济生活涉及国家和企业、财政与税收、供给侧结构性改革等知识;政治生活涉及转变政府职能、简政放权,党科学执政,人大立法等知识。
6. 对外开放
考点剖析:
(1)原因:经济全球化发展的客观要求,是我国社会主义市场经济平稳健康发展的客观要求。
(2)做法:实行更加积极主动的开放战略,完善互利共赢、多元平衡、安全高效的开放型经济体系;加快转变对外经济发展方式,着力培育开放型经济发展新优势;必须促进“引进来”和“走出去”更好地结合起来;坚持独立自主、自力更生的原则。
备考锦囊:
(1)对该考点的复习要注意国际经济合作是“双赢”,要在国际经济合作中找到利益结合点。
(2)对该考点的运用要与政治生活中国际关系、国家利益联系起来
7.“引进来”与“走出去”相结合的战略
考点剖析:
(1)地位:是我国对外开放新阶段的重大举措。
(2)意义:有利于充分利用国内国际两个市场、两种资源,优化资源配置;有利于优化产业结构,转变经济发展方式;有利于构建国际经济新秩序。
备考锦囊:
(1)对该考点的复习要注意以下几点:
①“引进来”指引资、引技、引智(进口≠“引进来”)。
②“走出去”指到境外投资办厂、对外承包工程、劳务输出等(“走出去”≠出口)。
③“引进来”与“走出去”都是我国对外开放的有机组成部分。只进不出或只出不进,都不是真正意义上的对外开放。
④海外并购、境外投资属于“走出去”。
(2)对该考点的运用要结合相关时政分析如何实施“走出去”战略:
①鼓励和支持有比较优势的各种所有制企业对外投资;
②坚持以质取胜战略,培育我国自己的名牌产品,树立我国在国际市场上的良好形象;
③坚持市场多元化战略,以拓展我国对外经济活动的空间,减少国际市场变化带来的风险。
8. 我国公民的政治权利和义务
考点剖析:
(1)公民的政治权利与自由包括选举权和被选举权、监督权(批评权、建议权、检举权、申诉权、控告权等)、政治自由(言论、出版、集会、结社、游行、示威的自由)。
(2)公民的政治义务:维护国家统一和民族团结,遵守宪法和法律,维护国家安全、荣誉和利益,服兵役和参加民兵组织。
备考锦囊:
对该考点的复习要特别注意:
①选举权和被选举权是公民基本的民主权利,行使这个权利是公民参与管理国家和管理社会的基础和标志。行使这个权利的主体是中华人民共和国年满十八周岁的公民,但依照法律被剥夺政治权利的人除外。
②监督权的监督对象是国家机关和国家工作人员。
9. 我国公民参与政治生活的基本原则
考点剖析:
(1)公民在法律面前一律平等的原则:指公民平等地享有权利,平等地履行义务,平等地适用法律。
(2)权利与义务相统一的原则:在我国,公民的权利与义务是统一的。一方面,国家保障公民充分享有和行使权利;另一方面,公民要自觉履行义务。
(3)个人利益与国家利益相结合的原则:在我国,国家和公民个人的利益在根本上是一致的。当个人利益与国家利益发生矛盾时,个人利益要服从国家利益。
备考锦囊:
对该考点的复习要注意以下几点:
①坚持公民在法律面前一律平等的原则指在守法上和司法上的平等,而不是在立法上的平等;
②公民在现实中的种种差异,有可能影响权利的行使和义务的履行程度,但不影响权利和义务的多少;
③公民在法律上既是权利的主体,又是义务的主体;
④公民的权利不能任意扩大或缩小。
10. 我国公民政治参与的途径和方式
考点剖析:
(1)民主选举:我国当前人大代表的选举采用直接选举和间接选举相结合的选举方式,这两种选举方式均为差额选举。
(2)民主决策:具体途径有社情民意反映制度、专家咨询制度、重大事项社会公示制度、社会听证制度等。
(3)民主管理:我国实行基层群众自治制度(包括农村村民自治和城市居民自治)。
(4)民主监督:合法渠道有信访制度、人大代表联系群众制度、舆论监督制度、监督听证会、民主评议会、网上评议政府等。
备考锦囊:
(1)对该考点的复习要注意以下几点:
①县及县以下的人大代表的选举为直接选举,县以上的各级人大代表的选举为间接选举;
②公民可以参与决策,但不享有决策权;
③村委会和居委会是基层群众性自治组织,不是我国的基层政权。
(2)对该考点的运用要结合我国当前政治生活的实际,如民主管理形式的创新,民主监督的广泛开展,四种参与途径分别发挥的作用等。